№ 41 ЗПС Алгебра = № 41 ЗПС Математика
Розв’яжіть рівняння
$\frac{38}{x^4-x^2+20x-100}+\frac{x+10}{x^2-x+10}=$
$= \frac{x+10}{x^2+x-10}.$
Розв'язок:
$\frac{38}{x^4-\left(x^2-20x+100\right)}+\frac{x+10}{x^2-x+10}=$
$= \frac{x+10}{x^2+x-10};$
$\frac{38}{\left(x^2\right)^2-(x-10)^2}+\frac{x+10}{x^2-x+10}=$
$= \frac{x+10}{x^2+x-10};$
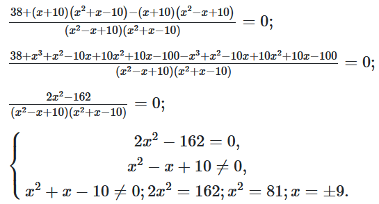
$\frac{38}{\left(x^2-x+10\right)\left(x^2+x-10\right)}+\frac{x+10}{x^2-x+10}-$
$-\frac{x+10}{x^2+x-10}=0;$

Відповідь:
$-9;9.$
