№ 26 ЗПС Алгебра = № 26 ЗПС Математика
Відомо, що $24 – x^2 − 12 - x^2 = 2.$ Не знаходячи значення х, знайдіть значення виразу $24 – x^2 + 12 - x^2.$
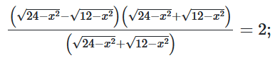
Розв'язок:
$\sqrt{24-x^2}+\sqrt{12-x^2}=2,$

$\frac{24-x^2-\left(12-x^2\right)}{\sqrt{24-x^2}+\sqrt{12-x^2}}=2;$
$\frac{24-x^2-12+x^2}{\sqrt{24-x^2}+\sqrt{12-x^2}}=2;$
$\frac{12}{\sqrt{24-x^2}+\sqrt{12-x^2}}=2;$
$\sqrt{24-x^2}+\sqrt{12-x^2}=$
$= \frac{12}{2}=6.$
Відповідь:
6.
