№ 23 ЗПС Алгебра = № 23 ЗПС Математика
Спростіть вираз:
1. $\frac{\sqrt{(a+2)^2-8a}}{\sqrt a-\frac{2}{\sqrt a}};$
2. $\frac{x^2+4}{x\sqrt{\left(\frac{x^2-4}{2x}\right)^2+4}}.$
Розв'язок:
1. $\frac{\sqrt{(a+2)^2-8a}}{\sqrt a-\frac{2}{\sqrt a}}= \frac{\sqrt{a^2+4a+4-8a}}{\frac{a-2}{\sqrt a}}=$
$= \frac{\sqrt a\sqrt{a^2-4a+4}}{a-2}=$
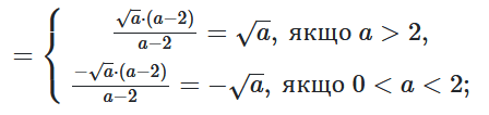
$\frac{\sqrt a\cdot\sqrt{(a-2)^2}}{(a-2)}=\frac{\sqrt a\cdot|a-2|}{a-2}=$

2. ОДЗ: $x\neq0.$ Якщо $x>0,$ то
$\frac{x^2+4}{x\sqrt{\left(\frac{x^2-4}{2x}\right)^2+4}}=\frac{x^2+4}{\sqrt{\frac{\left(x^2-4\right)^2}{4}}+4}=$
$=\frac{x^2+4}{\frac{\left|x^2-4\right|}{2}+4}=\frac{x^2+4}{\frac{\left|x^2-4\right|+8}{2}}=$
$= \frac{2\left(x^2+4\right)}{\left|x^2-4\right|+8}= \frac{2\left(x^2+4\right)}{x^2-4+8}= $
$= \frac{2\left(x^2+4\right)}{x^2+4}=2,$
якщо $x\geq2;$ якщо $0<x<2,$ то
$\frac{2\left(x^2+4\right)}{\left|x^2-4\right|+8}= \frac{2\left(x^2+4\right)}{4-x^2+8}= \frac{2\left(x^2+4\right)}{12-x^2}.$
Якщо $x<0,$ то $\frac{x^2+4}{x\sqrt{\left(\frac{x^2-4}{2x}\right)^2+4}}= -\frac{x^2+4}{\frac{\left|x^2-4\right|}{2}+4}=$
$= -\frac{2\left(x^2+4\right)}{\left|x^2-4\right|+8}= -\frac{2\left(x^2+4\right)}{x^2+4}=-2,$
якщо $ x\le-2;$ якщо $-2<x<0,$ то
$-\frac{2\left(x^2+4\right)}{\left|x^2-4\right|+8}= -\frac{2\left(x^2+4\right)}{4-x^2+8}=$
$= -\frac{2\left(x^2+4\right)}{12-x^2}=\frac{2\left(x^2+4\right)}{x^2-12}.$
