№ 22 ЗПС Алгебра = № 22 ЗПС Математика
Спростіть вираз:
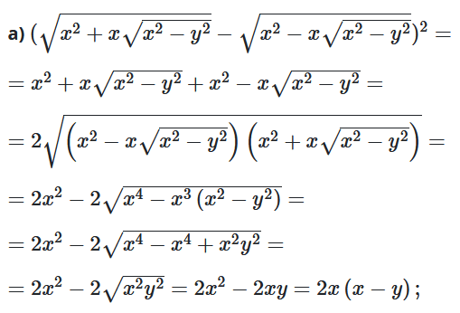
1. $\frac{\left(\sqrt{x^2+x\sqrt{x^2-y^2}}-\sqrt{x^2-x\sqrt{x^2-y^2}}\right)^2}{2\sqrt{x^3y}}:$
$: \left(\sqrt{\frac{x}{y}}+\sqrt{\frac{y}{x}}-2\right),$
якщо $x>0,y>0;$
2. $\left(\frac{\sqrt{b-a}}{\sqrt{b+a}+\sqrt{b-a}}+\frac{b-a}{\sqrt{b^2-a^2}+a-b}\right):$
$: \sqrt{\frac{b^2}{a^2}-1},$
якщо $b>a>0.$
Розв'язок:
1. Якщо $x>0,y>0,$ то
$\frac{\left(\sqrt{x^2+x\sqrt{x^2-y^2}}-\sqrt{x^2-x\sqrt{x^2-y^2}}\right)^2}{2\sqrt{x^3y}}:$
$:\left(\sqrt{\frac{x}{y}}+\sqrt{\frac{y}{x}}-2\right)= $
$= \frac{(\sqrt x+\sqrt y)^2}{x-y};$

б) $\frac{2x\left(x-y\right)}{2\sqrt{x^3y}}=\frac{x\left(x-y\right)}{\sqrt{x^2xy}}=$
$= \frac{x\left(x-y\right)}{x\sqrt{xy}}=\frac{x-y}{\sqrt{xy}};$
в) $\sqrt{\frac{x}{y}}+\sqrt{\frac{y}{x}}-2=$
$= \frac{\sqrt x}{\sqrt y}+\frac{\sqrt y}{\sqrt x}-\frac{2}{1}=$
$= \frac{x+y-2\sqrt{xy}}{\sqrt{xy}}=\frac{(\sqrt x-\sqrt y)^2}{\sqrt{xy}};$
г) $\frac{x-y}{\sqrt{xy}}:\frac{(\sqrt x-\sqrt y)^2}{(x-y)^2}=$
$= \frac{x-y}{(\sqrt x-\sqrt y)^2}=$
$= \frac{(x-y)\cdot(\sqrt x+\sqrt y)^2}{((\sqrt x-\sqrt y)(\sqrt x+\sqrt y))^2}=$
$= \frac{(x-y)(\sqrt x+\sqrt y)^2}{(x-y)^2}=\frac{(\sqrt x+\sqrt y)^2}{x-y};$
2. Якщо $b>a>0,$ то
$\left(\frac{\sqrt{b-a}}{\sqrt{b+a}+\sqrt{b-a}}+\frac{b-a}{\sqrt{b^2-a^2}+a-b}\right):$
$: \sqrt{\frac{b^2}{a^2}-1}=1.$
а) $\frac{\sqrt{b-a}}{\sqrt{b+a}+\sqrt{b-a}}+\frac{b-a}{\sqrt{b^2-a^2}+a-b}\ =$
$= \frac{\sqrt{b-a}}{\sqrt{b-a}\left(\sqrt{\frac{b+a}{b-a}}+1\right)}+$
$+ \frac{b-a}{\sqrt{b^2-a^2}-(b-a)}=$
$= \frac{1}{\sqrt{\frac{b+a}{b-a}}+1}+\frac{b-a}{(b-a)\left(\frac{\sqrt{b^2-a^2}}{b-a}-1\right)}=$
$= \frac{1}{\sqrt{\frac{b+a}{b-a}}+1}+\frac{1}{\sqrt{\frac{b^2-a^2}{(b-a)^2}}-1}=$
$= \frac{1}{\sqrt{\frac{b+a}{b-a}}+1}+\frac{1}{\sqrt{\frac{b+a}{b-a}}-1}=$
$= \frac{2\sqrt{\frac{b+a}{b-a}}}{\left(\sqrt{\frac{b+a}{b-a}}+1\right)\left(\sqrt{\frac{b+a}{b-a}}-1\right)}=$
$= \frac{2\sqrt{\frac{b+a}{b-a}}}{\frac{b+a}{b-a}-1}= \frac{2\sqrt{\frac{b+a}{b-a}}}{\frac{2a}{b-a}}=$
$= \frac{(b-a)\sqrt{\frac{b+a}{b-a}}}{a}=\frac{\sqrt{(b-a)(b+a)}}{a}=$
$= \frac{\sqrt{b^2-a^2}}{a};$
б) $ \sqrt{\frac{b^2}{a^2}-1}=\sqrt{\frac{b^2-a^2}{a^2}}=$
$= \frac{\sqrt{b^2-a^2}}{a};$
в) $ \frac{\sqrt{b^2-a^2}}{a}:\frac{\sqrt{b^2-a^2}}{a}=1.$
