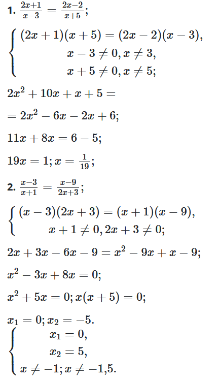
№ 24.39 Алгебра = № 49.39 Математика
Розв’яжіть рівняння, використавши основну властивість пропорції.
1. $\frac{2x+1}{x-3}=\frac{2x-2}{x+5};$
2. $\frac{x-3}{x+1}=\frac{x-9}{2x+3}.$
Розв'язок:

Відповідь:
1. $\frac{1}{19}; x\neq3;x\neq-1{,}5; $
2. $0;-5; x\neq-1;x\neq-1{,}5.$
