№ 24.34 Алгебра = № 49.34 Математика
Спростіть вираз:
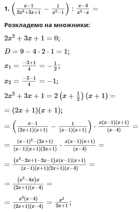
1. $\left(\frac{x-1}{2x^2+3x+1}-\frac{1}{x^2-1}\right):\frac{x-4}{x^3-x};$
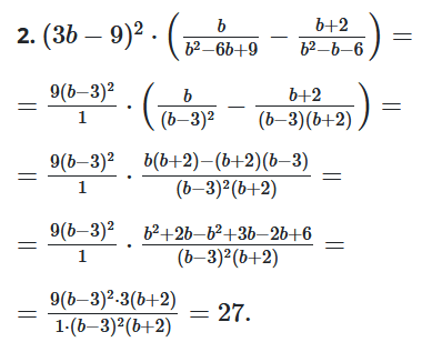
2. $(3b-9)^2\cdot\left(\frac{b}{b^2-6b+9}-\frac{b+2}{b^2-b-6}\right).$
Розв'язок:


Відповідь:
1. $\frac{x^2}{2x+1};$
2. $27.$
