№ 24.33 Алгебра = № 49.33 Математика
Спростіть вираз:
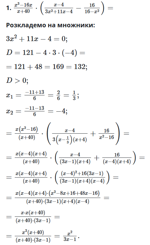
1. $\frac{x^3-16x}{x+40}\cdot\left(\frac{x-4}{3x^2+11x-4}-\frac{16}{16-x^2}\right);$
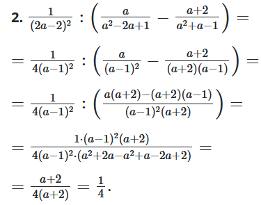
2. $\frac{1}{(2a-2)^2}:\left(\frac{a}{a^2-2a+1}-\frac{a+2}{a^2+a-1}\right).$
Розв'язок:


Відповідь:
1. $\frac{x^2}{3x-1}; $
2. $\frac{1}{4}.$
