№ 18.35 Алгебра = № 34.35 Математика
Знайдіть:
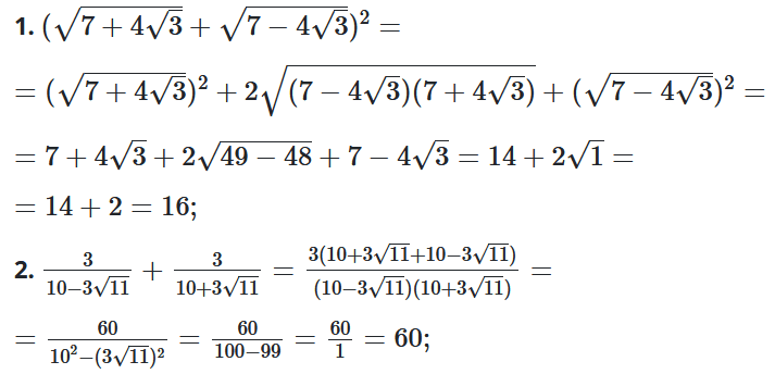
1. $(\sqrt{7+4\sqrt3}+\sqrt{7-4\sqrt3})^2;$
2. $\frac{3}{10-3\sqrt{11}}+\frac{3}{10+3\sqrt{11}};$
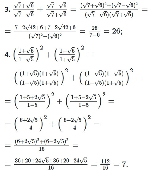
3. $\frac{\sqrt7+\sqrt6}{\sqrt7-\sqrt6}+\frac{\sqrt7-\sqrt6}{\sqrt7+\sqrt6};$
4. $\left(\frac{1+\sqrt5}{1-\sqrt5}\right)^2+\left(\frac{1-\sqrt5}{1+\sqrt5}\right)^2.$
Розв'язок:


