№ 18.34 Алгебра = № 34.34 Математика
Обчисліть:
1. $(\sqrt{3-\sqrt5}-\sqrt{3+\sqrt5})^2;$
2. $\frac{15}{11+2\sqrt{30}}+\frac{15}{11-2\sqrt{30}};$
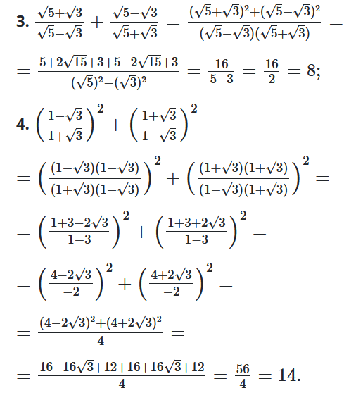
3. $\frac{\sqrt5+\sqrt3}{\sqrt5-\sqrt3}+\frac{\sqrt5-\sqrt3}{\sqrt5+\sqrt3};$
4. $\left(\frac{1-\sqrt3}{1+\sqrt3}\right)^2+\left(\frac{1+\sqrt3}{1-\sqrt3}\right)^2.$
Розв'язок:


