№ 17.22 Алгебра = № 33.22 Математика
Обчисліть:
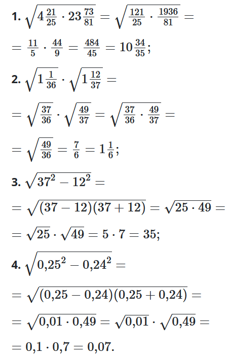
1. $\sqrt{4\frac{21}{25}\cdot23\frac{73}{81}};$
2. $\sqrt{1\frac{1}{36}}\cdot\sqrt{1\frac{12}{37}};$
3. $\sqrt{{37}^2-{12}^2};$
4. $\sqrt{0{,}{25}^2-0{,}{24}^2}.$
Розв'язок:

№ 17.22 Алгебра = № 33.22 Математика
1. $\sqrt{4\frac{21}{25}\cdot23\frac{73}{81}};$
2. $\sqrt{1\frac{1}{36}}\cdot\sqrt{1\frac{12}{37}};$
3. $\sqrt{{37}^2-{12}^2};$
4. $\sqrt{0{,}{25}^2-0{,}{24}^2}.$

