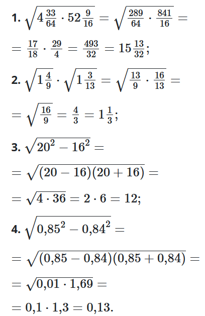
№ 17.21 Алгебра = № 33.21 Математика
Обчисліть:
1. $\sqrt{4\frac{33}{64}\cdot52\frac{9}{16}};$
2. $\sqrt{1\frac{4}{9}}\cdot\sqrt{1\frac{3}{13}};$
3. $\sqrt{{20}^2-{16}^2};$
4. $\sqrt{0{,}{85}^2-0{,}{84}^2}.$
Розв'язок:

№ 17.21 Алгебра = № 33.21 Математика
1. $\sqrt{4\frac{33}{64}\cdot52\frac{9}{16}};$
2. $\sqrt{1\frac{4}{9}}\cdot\sqrt{1\frac{3}{13}};$
3. $\sqrt{{20}^2-{16}^2};$
4. $\sqrt{0{,}{85}^2-0{,}{84}^2}.$

