ВПР 1 №71 Алгебра = ВПТ 3 №34 Математика
Розв’яжіть рівняння:
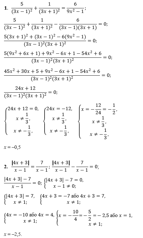
1. $\frac{5}{\left(3x-1\right)^2}+\frac{1}{\left(3x+1\right)^2}=\frac{6}{9x^2-1};$
2. $\frac{\left|4x+3\right|}{x-1}=\frac{7}{x-1}.$
Розв'язок:

Відповідь:
1. –0,5;
2. –2,5.
ВПР 1 №71 Алгебра = ВПТ 3 №34 Математика
1. $\frac{5}{\left(3x-1\right)^2}+\frac{1}{\left(3x+1\right)^2}=\frac{6}{9x^2-1};$
2. $\frac{\left|4x+3\right|}{x-1}=\frac{7}{x-1}.$

1. –0,5;
2. –2,5.
