ВПР 1 №64 Алгебра = ВПТ 3 №27 Математика
Доведіть, що вираз
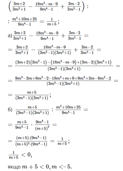
$(\frac{3m+2}{3m^2+1}−\frac{18m^3-m-9}{9m^4-1}+\frac{3m-2}{3m^2-1}):$
$: \frac{m^2\ +\ 10m\ +\ 25}{9m^4\ -\ 1}$ для всіх $m$ < –5
набуває лише від’ємних значень.
Розв'язок:

ВПР 1 №64 Алгебра = ВПТ 3 №27 Математика
$(\frac{3m+2}{3m^2+1}−\frac{18m^3-m-9}{9m^4-1}+\frac{3m-2}{3m^2-1}):$
$: \frac{m^2\ +\ 10m\ +\ 25}{9m^4\ -\ 1}$ для всіх $m$ < –5

