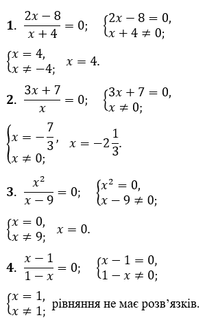
№ 8.6 Алгебра = № 13.6 Математика
Розв’яжіть рівняння:
1. $\frac{2x-8}{x+4}=0;$
2. $\frac{3x+7}{x}=0;$
3. $\frac{x^2}{x-9}=0;$
4. $\frac{x-1}{1-x}=0.$
Розв'язок:

№ 8.6 Алгебра = № 13.6 Математика
1. $\frac{2x-8}{x+4}=0;$
2. $\frac{3x+7}{x}=0;$
3. $\frac{x^2}{x-9}=0;$
4. $\frac{x-1}{1-x}=0.$

