№ 8.7 Алгебра = № 13.7 Математика
Розв’яжіть рівняння:
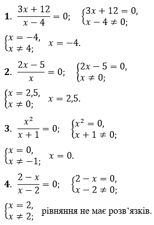
1. $\frac{3x+12}{x-4}=0;$
2. $\frac{2x-5}{x}=0;$
3. $\frac{x^2}{x+1}=0;$
4. $\frac{2-x}{x-2}=0.$
Розв'язок:

№ 8.7 Алгебра = № 13.7 Математика
1. $\frac{3x+12}{x-4}=0;$
2. $\frac{2x-5}{x}=0;$
3. $\frac{x^2}{x+1}=0;$
4. $\frac{2-x}{x-2}=0.$

