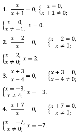
№ 8.5 Алгебра = № 13.5 Математика
Розв’яжіть рівняння:
1. $\frac{x}{x+1}=0;$
2. $\frac{x-2}{x}=0;$
3. $\frac{x+3}{x-4}=0;$
4. $\frac{x+7}{x}=0.$
Розв'язок:

№ 8.5 Алгебра = № 13.5 Математика
1. $\frac{x}{x+1}=0;$
2. $\frac{x-2}{x}=0;$
3. $\frac{x+3}{x-4}=0;$
4. $\frac{x+7}{x}=0.$

