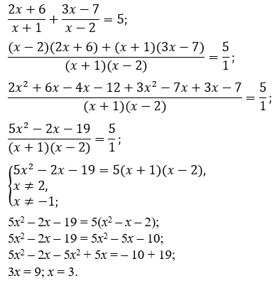
№ 8.20 Алгебра = № 13.20 Математика
Чи є рівносильними рівняння
$\frac{2x+6}{x+1}+\frac{3x-7}{x-2}=5\ і $
$ \frac{x-2}{x+2}+\frac{x+2}{x-2}=\frac{8}{x^2-4}?$
Розв'язок:


№ 8.20 Алгебра = № 13.20 Математика
$\frac{2x+6}{x+1}+\frac{3x-7}{x-2}=5\ і $
$ \frac{x-2}{x+2}+\frac{x+2}{x-2}=\frac{8}{x^2-4}?$


