№ 8.21 Алгебра = № 13.21 Математика
Чи є рівносильними рівняння
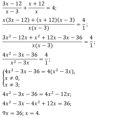
$\frac{3x-12}{x-3}+\frac{x+12}{x}=4$ і $\frac{x+1}{x-1}+\frac{x-1}{x+1}=\frac{2}{x^2-1}?$
Розв'язок:


№ 8.21 Алгебра = № 13.21 Математика
$\frac{3x-12}{x-3}+\frac{x+12}{x}=4$ і $\frac{x+1}{x-1}+\frac{x-1}{x+1}=\frac{2}{x^2-1}?$


