№ 8.19 Алгебра = № 13.19 Математика
Розв’яжіть рівняння:
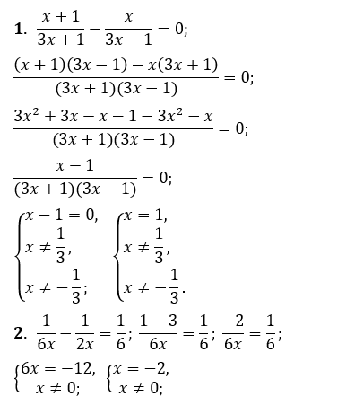
1. $\frac{x+1}{3x+1}-\frac{x}{3x-1}=0;$
2. $\frac{1}{6x}-\frac{1}{2x}=\frac{1}{6};$
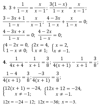
3. $3+\frac{1}{1-x}=\frac{x}{x-1};$
4. $\frac{1}{4x+4}-\frac{1}{x+1}=\frac{3}{8}.$
Розв'язок:


Відповідь:
1. 1;
2. –2;
3. 2;
4. −3.
