№ 8.18 Алгебра = № 13.18 Математика
Розв’яжіть рівняння:
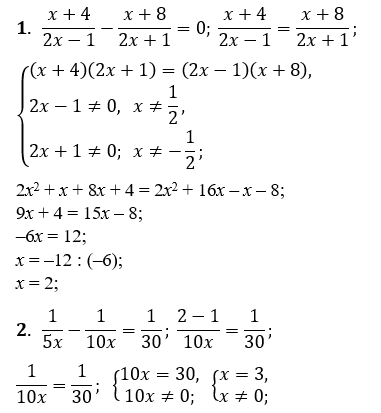
1. $\frac{x+4}{2x-1}-\frac{x+8}{2x+1}=0;$
2. $\frac{1}{5x}-\frac{1}{10x}=\frac{1}{30};$
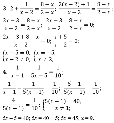
3. $2+\frac{1}{x-2}=\frac{8-x}{2-x};$
4. $\frac{1}{x-1}-\frac{1}{5x-5}=\frac{1}{10}.$
Розв'язок:


Відповідь:
1. 2;
2. 3;
3. −5;
4. 9.
