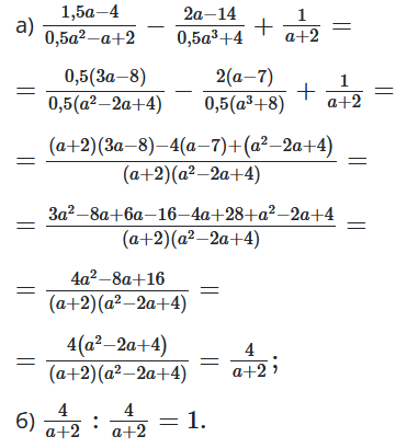
№ 7.24 Алгебра = № 12.24 Математика
Знайдіть значення виразу
$\left(\frac{1,5a-4}{0,5a^2-a+2}-\frac{2a-14}{0,5a^3+4}+\frac{1}{a+2}\right):\frac{4}{a+2},$
якщо a = 197.
Розв'язок:

№ 7.24 Алгебра = № 12.24 Математика
$\left(\frac{1,5a-4}{0,5a^2-a+2}-\frac{2a-14}{0,5a^3+4}+\frac{1}{a+2}\right):\frac{4}{a+2},$
якщо a = 197.

