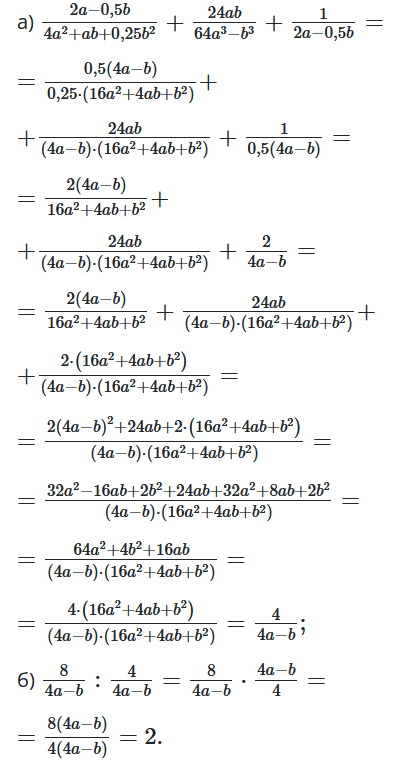
№ 7.23 Алгебра = № 12.23 Математика
Доведіть, що для всіх допустимих значень змінних значення виразу
$\frac{8}{4a-b}:(\frac{2a-0,5b}{4a^2+ab+0,25b^2}+$
$+ \frac{24ab}{64a^3-b^3}+\frac{1}{2a-0,5b})$ від значення змінних не залежить.
Розв'язок:

№ 7.23 Алгебра = № 12.23 Математика

