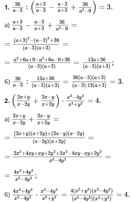
№ 7.10 Алгебра = № 12.10 Математика
Спростіть вираз:
1. $\frac{36}{a-3}:\left(\frac{a+3}{a-3}-\frac{a-3}{a+3}+\frac{36}{a^2-9}\right);$
2. $\left(\frac{2x+y}{x-2y}+\frac{2x-y}{x+2y}\right)\cdot\frac{x^2-4y^2}{x^2+y^2}.$
Розв'язок:

№ 7.10 Алгебра = № 12.10 Математика
1. $\frac{36}{a-3}:\left(\frac{a+3}{a-3}-\frac{a-3}{a+3}+\frac{36}{a^2-9}\right);$
2. $\left(\frac{2x+y}{x-2y}+\frac{2x-y}{x+2y}\right)\cdot\frac{x^2-4y^2}{x^2+y^2}.$

