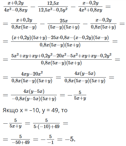
№ 4.44 Алгебра = № 4.44 Математика
Знайдіть значення виразу
$\frac{x+0,2y}{4x^2-0,8xy}-$
$-\frac{12,5x}{12,5x^2-0,5y^2}-\frac{x-0,2y}{4x^2+0,8xy}$
якщо x = –10, y = 49.
Розв'язок:

