№ 4.43 Алгебра = № 4.43 Математика
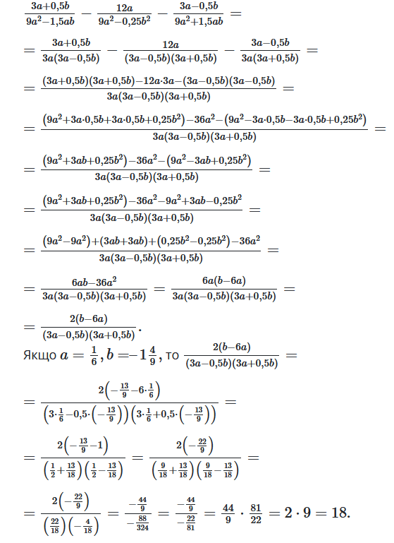
Знайдіть значення виразу $\frac{3a\ +\ 0,5b}{9a^2-1,5ab}-\frac{12a}{9a^2-0,25b^2}-$
$-\frac{3a-0,5b}{9a^2\ +\ 1,5ab},$ якщо $a = \frac{1}{6}, b = –1\frac{4}{9}.$ Відтак дізнаєтеся, у якому віці українець Руслан Пономарьов став наймолодшим в історії чемпіоном світу із шахів.
Розв'язок:

Відповідь:
Руслан Пономарьов став чемпіоном світу у 18 років.
