№ 4.38 Алгебра = № 4.38 Математика
Перетворіть вираз на дріб:
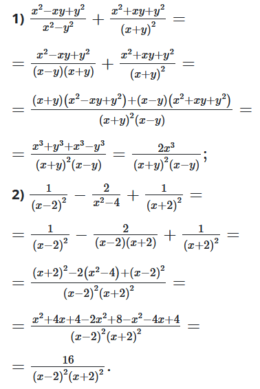
1)$\ \frac{x^2-xy+y^2}{x^2{-y}^2}+\frac{x^2+xy+y^2}{\left(x+y\right)^2};$
2) $\frac{1}{\left(x-2\right)^2}-\frac{2}{x^2-4}+\frac{1}{\left(x+2\right)^2}=.$
Розв'язок:

№ 4.38 Алгебра = № 4.38 Математика
1)$\ \frac{x^2-xy+y^2}{x^2{-y}^2}+\frac{x^2+xy+y^2}{\left(x+y\right)^2};$
2) $\frac{1}{\left(x-2\right)^2}-\frac{2}{x^2-4}+\frac{1}{\left(x+2\right)^2}=.$

