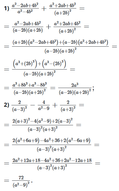
№ 4.37 Алгебра = № 4.37 Математика
Перетворіть вираз на дріб:
1) $\frac{a^2-2ab+4b^2}{a^2-4b^2}+\frac{a^2+2ab+4b^2}{\left(a+2b\right)^2};$
2) $\frac{2}{\left(a-3\right)^2}-\frac{4}{a^2-9}+\frac{2}{\left(a+3\right)^2}.$
Розв'язок:

№ 4.37 Алгебра = № 4.37 Математика
1) $\frac{a^2-2ab+4b^2}{a^2-4b^2}+\frac{a^2+2ab+4b^2}{\left(a+2b\right)^2};$
2) $\frac{2}{\left(a-3\right)^2}-\frac{4}{a^2-9}+\frac{2}{\left(a+3\right)^2}.$

