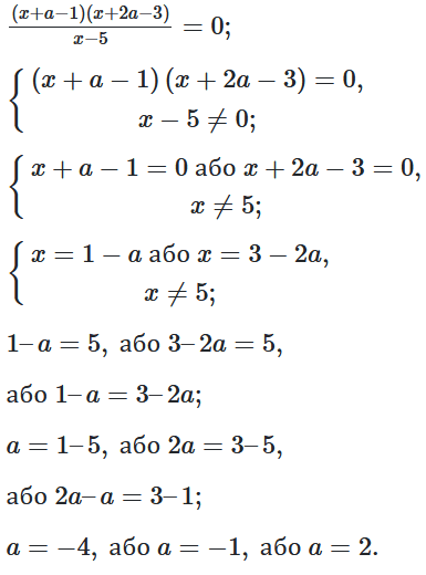
§ 11. Стандартний вигляд числа № 11.1 – 11.38 Завдання № 11.33 № 11.33 Алгебра = № 21.33 Математика За яких значень а рівняння $\frac{\left(x+a-1\right)\left(x+2a-3\right)}{x-5}$ має лише один корінь? Розв'язок: Відповідь: $a = −4; a = −1; a = 2.$ Завдання № 11.32 Завдання № 11.32 Завдання № 11.34 Завдання № 11.34