№ 49 ЗПС Алгебра = № 49 ЗПС Математика
Розв’яжіть рівняння:
1. $\left(\frac{2x+1}{3x-4}\right)^2+\left(\frac{3x-4}{2x+1}\right)^2=2;$
2. $\left(\frac{5x-6}{2-7x}\right)^2+\left(\frac{7x-2}{5x-6}\right)^2=4{,}25;$
3. $7\left(x+\frac{1}{x}\right)-2\left(x^2+\frac{1}{x^2}\right)=9;$
4. $3\left(\frac{4}{x^2}+\frac{x^2}{9}\right)+4\left(\frac{x}{3}-\frac{2}{x}\right)-$
$- 8=0.$
Розв'язок:
1. Нехай $\left(\frac{2x+1}{3x-4}\right)^2 =t≥0,$
тоді $\left(\frac{3x-4}{2x+1}\right)^2=\frac{1}{t}.$
$t+\frac{1}{t}=2;\frac{t^2+1}{t}=2;$
$\left\{\begin{matrix}t^2+1=2t,\\t>0;\\\end{matrix}\right.$
$t^2-2t+1=0;$
$(t-1)^2=0;$
$t-1=0;t=1.$
Отже, $\left(\frac{2x+1}{3x-4}\right)^2=1;$
$\left[\begin{matrix}\frac{2x+1}{3x-4}=-1,\\\frac{2x+1}{3x-4}=1;\\\end{matrix}\right.$
$\left\{\begin{matrix}\left[\begin{matrix}2x+1=4-3x\\2x+1=3x-4\\\end{matrix}; \right. \\ x\neq\frac{4}{3};\\\end{matrix}\right.$
$\left[\begin{matrix}2x+3x=4-1,\\2x-3x=-4-1;\\\end{matrix}\right.$
$\left[\begin{matrix}5x=3,\\-x=-5;\\\end{matrix}\right.$
$\left[\begin{matrix}x=\frac{3}{5}=0{,}6,\\x=5.\\\end{matrix}\right.$
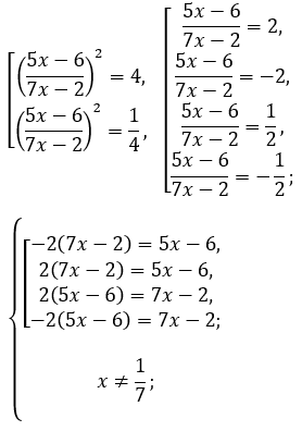
2. $\left(\frac{5x-6}{7x-2}\right)^2+\left(\frac{7x-2}{5x-6}\right)^2=\frac{17}{4}.$
Нехай $\left(\frac{5x-6}{7x-2}\right)^2=t≥0,$
тоді $\left(\frac{7x-2}{5x-6}\right)^2=\frac{1}{t}.$
$t+\frac{1}{t}=\frac{17}{4}; \frac{t^2+1}{t}=\frac{17}{4};$
$\left\{\begin{matrix}4\left(t^2+1\right)=17t,\\t>0;\\\end{matrix}\right.$
$4t^2-17t+4=0;$
$D=(-17)^2-4·4·4=$
$= 289-64=225;$
$t_1=\frac{17+15}{8}=\frac{32}{8}=4;$
$t_2=\frac{17-15}{8}=\frac{2}{8}=\frac{1}{4}.$


3. $7\left(x+\frac{1}{x}\right)-2\left(x^2+\frac{1}{x^2}\right)=9;$
$7\left(x+\frac{1}{x}\right)-$
$- 2\left(\left(x+\frac{1}{x}\right)^2-2\right)=9;$
$2\left(x+\frac{1}{x}\right)^2-7\left(x+\frac{1}{x}\right)-$
$- 4+9=0;$
$2\left(x+\frac{1}{x}\right)^2-7\left(x+\frac{1}{x}\right)+5=$
$= 0.$
Нехай $x+\frac{1}{x}=t,$
тоді $2t^2-7t+5=0;$
$D=49-4·2·5=$
$= 49-40=9;$
$t_1=\frac{7+3}{4}=\frac{10}{4}=\frac{5}{2};$
$t_2=\frac{7-3}{4}=\frac{4}{4}=1.$
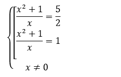
Отже, $\left\{\begin{matrix}x+\frac{1}{x}=\frac{5}{2},\\x+\frac{1}{x}=1;\\\end{matrix}\ \ \ \ \ \right.$

$\left[\begin{matrix}2\left(x^2+1\right)=5x,\\x^2+1=x;\\\end{matrix}\right.$
$\left[\begin{matrix}2x^2-5x+2=0,\\x^2-x+1=0;\\\end{matrix}\right.$
1) $2x^2-5x+2=0;$
$D=25-4·2·2=$
$= 25-16=9;$
$x_1=\frac{5+3}{4}=\frac{8}{4}=2;$
$x_2=\frac{5-3}{4}=\frac{2}{4}=\frac{1}{2};$
2) $x^2-x+1=0;$
$D=1-4·1·1<0.$
4. $3\left(\left(\frac{x}{3}-\frac{2}{x}\right)^2+\frac{4}{3}\right)+$
$+ 4\left(\frac{x}{3}-\frac{2}{x}\right)=0.$
Нехай $\frac{x}{3}-\frac{2}{x}=t,$
тоді $3\left(t^2+\frac{4}{3}\right)+4t-8=0;$
$3t^2+4+4t-8=0;$
$3t^2+4t-4=0;$
$D=16-4·3·(-4)=$
$= 16+48=64;$
$t_1=\frac{-4+8}{6}=\frac{4}{6}=\frac{2}{3};$
$ t_2=\frac{-4-8}{6}=-\frac{12}{6}=-2.$
Отже,
$\left\{\begin{matrix}\left[\begin{matrix}\frac{x}{3}-\frac{2}{x}=\frac{2}{3},\\\frac{x}{3}-\frac{2}{x}=-2;\\\end{matrix}\right.\\\\x\neq0;\\\end{matrix}\right.$
$\left[\begin{matrix}\frac{x^2-6}{3x}=\frac{2}{3},\\\frac{x^2-6}{3x}=-2;\\\end{matrix}\right.$
$\left[\begin{matrix}3\left(x^2-6\right)=6x,\\x^2-6=-6x;\\\end{matrix}\right.$
$\left[\begin{matrix}3x^2-6x-18=0,\\x^2+6x-6=0;\\\end{matrix}\right.$
1) $3x^2-6x-18=0;$
$x^2-2x-6=0;$
$D=4+24=28;$
$x=\frac{2\pm\sqrt{28}}{2}=\frac{2(1\pm\sqrt{17})}{2}=$
$= 1\pm\sqrt7;$
2) $x^2+6x-6=0;$
$D=36+24=60; $
$x=\frac{-6\pm\sqrt{60}}{2}=$
$= \frac{-2\left(3\pm\sqrt{15}\right)}{2}=-3\pm\sqrt{15}.$
Відповідь:
1. $0{,}6; 5;$
2. $-\frac{2}{9};3\frac{1}{3};\frac{10}{19};\frac{14}{17};$
3. $\frac{1}{2};2;$
4. $1\pm\sqrt7;-3\pm\sqrt{15}.$
