ВПР 3 №49 Алгебра = ВПТ 11 №17 Математика
Розв’яжіть рівняння:
1. $\frac{1}{x+2}-\frac{4}{x+3}=\frac{1}{x};$
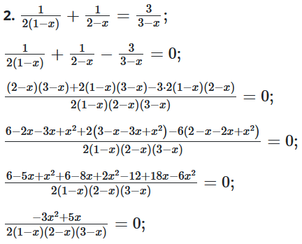
2. $\frac{1}{2(1-x)}+\frac{1}{2-x}=\frac{3}{3-x};$
3. $\frac{18}{x^2+6x+9}+\frac{7}{x+3}=1;$
4. $\frac{13x+4}{4x^2+4x+1}-\frac{1}{2x+1}=4;$
5. $\frac{1}{(x+2)^2}+\frac{9}{(x-2)^2}=\frac{6}{x^2-4};$
6. $\frac{3}{3x^2-x}-\frac{4}{9x^2-1}=\frac{4}{9x^2-6x+1}.$
Розв'язок:
1. $\frac{1}{x+2}-\frac{4}{x+3}=\frac{1}{x};$
$\frac{1}{x+2}-\frac{4}{x+3}-\frac{1}{x}=0;$
$\frac{x(x+3)-4x(x+2)-(x+2)(x+3)}{x(x+2)(x+3)}=0;$
$\frac{x^2+3x-4x-8x-x^2-3x-2x-6}{x(x+2)(x+3)}=0;$
$\frac{-4x^2-10x-6}{x(x+2)(x+3)}=0;$
$\left\{\begin{matrix}-4x^2-10x-6=0,\\x\neq0,\\x\neq-2;\\x\neq-3;\\\end{matrix}\right.$
$2x^2+5x+3=0;$
$D=5^2-4·2·3=$
$= 25-24=1;$
$x_1=\frac{-5+1}{4}= -\frac{4}{4}=-1;$
$x_2=-\frac{6}{4}=-\frac{3}{2}=-1{,}5.$

$\left\{\begin{matrix}-3x^2+5x=0,\\x\neq1,\\x\neq2,\\x\neq3;\\\end{matrix}\right.$
$x(3x-5)=0;x=0$
або $x=\frac{5}{3}=1\frac{2}{3}.$
3. $\frac{18}{x^2+6x+9}+\frac{7}{x+3}=1;$
$\frac{18}{x^2+6x+9}+\frac{7}{x+3}-\frac{1}{1}=0;$
$\frac{18+7(x+3)-(x+3)^2}{(x+3)^2}=0;$
$\frac{18+7x+21-x^2-6x-9}{(x+3)^2}=0;$
$\frac{-x^2+x+30}{(x+3)^2}=0;$
$\left\{\begin{matrix}-x^2+x+30=0,\\x\neq-3;\\\end{matrix}\right.$
$\left\{\begin{matrix}x^2-x-30=0,\\x\neq-3;\\\end{matrix}\right.$
$\left\{\begin{matrix}x=6\ або\ x=5,\\x\neq-3.\\\end{matrix}\right.$
4. $\frac{13x+4}{4x^2+4x+1}-\frac{1}{2x+1}=4;$
$\frac{13x+4}{(2x+1)^2}-\frac{1}{2x+1}=4;$
$\frac{13x+4-(2x+1)}{(2x+1)^2}=\frac{4}{1};$
$ \frac{13x+4-2x-1}{(2x+1)^2}=\frac{4}{1};$
$\left\{\begin{matrix}4(2x+1)^2=11x+3,\\x\neq-\frac{1}{2};\\\end{matrix}\right.$
$4\left(4x^2+74x+1\right)-$
$- 11x-3=0;$
$16x^2+16x+4-11x-3=$
$= 0;$
$4x^2+5x+1= 0;$
$D=5^2-4·16·1=$
$= 25-64<0.$
5. $\frac{1}{(x+2)^2}+\frac{9}{(x-2)^2}=\frac{6}{x^2-4};$
$\frac{1}{(x+2)^2}+\frac{9}{(x-2)^2}-\frac{6}{x^2-4}=0;$
$\frac{(x+2)^2+9(x-2)^2-6(x-2)(x+2)}{(x+2)^2(x+2)^2}=0;$
$\frac{x^2-4x+4+9x^2+36x+36-6x^2+24}{(x+2)^2(x+2)^2}=0;$
$\frac{4x^2+32x+64}{(x+2)^2(x+2)^2}=0;$
$\left\{\begin{matrix}4x^2+32x+64=0,\\x\neq2,\\x\neq-2;\\\end{matrix}\right.$
$x^2+8x+16=0;$
$(x+4)^2=0;x=-4.$
6. $\frac{3}{3x^2-x}-\frac{4}{9x^2-1}=\frac{4}{9x^2-6x+1}.$
$\frac{3}{x(3x-1)}-\frac{4}{(3x-1)(3x+1)}=$
$= \frac{4}{(3x-1)^2};$
$\frac{3\left(9x^2-1\right)-4x(3x-1)-4x(3x+1)}{x(3x-1)^2(3x+1)}=0;$
$\frac{27x^2-3-12x^2+4x-12x^2-4x}{x(3x-1)^2(3x+1)}=0;$
$\frac{3x^2-3}{x(3x-1)^2(3x+1)}=0;$
$\left\{\begin{matrix}3x^23=0,\\x\neq0,\\x\neq\frac{1}{3},\\x\neq-\frac{1}{3};\\\end{matrix}\right.$
$3x=3;x^2=1;x=\pm1.$
Відповідь:
1. $-1,5;-1;$
2. $0; 1\frac{2}{3}.$
3. $–5; 6;$
4. рівняння розв'язків не має;
5. $–4;$
6. $-1;1.$
