№ 25.18 Алгебра = № 50.18 Математика
Розв’яжіть рівняння:
1. $\frac{3x+9}{x+1}+\frac{x-6}{x-1}=3;$
2. $\frac{2x+8}{x+5}+\frac{10}{x^2-25}=\frac{x-4}{x-5}.$
Розв'язок:
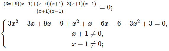
1. $\frac{3x+9}{x+1}+\frac{x-6}{x-1}=3;$

$\left\{\begin{matrix}x^2+x-12=0,\\x\neq-1,\\x\neq1;\\\end{matrix}\ \right.$
$x^2+x-12=0$
За теоремою Вієта маємо: $\left\{\begin{matrix}x_1+x_2=-1,\\x_1x_2=-12.\\\end{matrix}\right.$
Отже, $\begin{matrix}&x_1=-4,\\&x_2=3.\\\end{matrix}$
Звідки $\left\{\begin{matrix}x_1=-4,\\x_2=3,\\x\neq\pm1.\\\end{matrix}\right.$
2. $\frac{2x+8}{x+5}+\frac{10}{x^2-25}=\frac{x-4}{x-5};$
$\frac{2x+8}{x+5}+\frac{10}{(x-5)(x+5)}=\frac{x-4}{x-5};$
$\frac{(2x+8)(x-5)+10}{(x-5)(x+5)}=\frac{(x-4)(x+5)}{(x+5)(x+5)};$

$\left\{\begin{matrix}x^2-3x-10=0,\\x\neq5,\\x\neq-5;\\\end{matrix}\right.$
$x^2-3x-10=0.$
За теоремою Вієта маємо:
$\left\{\begin{matrix}x_1+x_2=3,\\x_1x_2=-10.\\\end{matrix}\right.$
Звідки $\begin{matrix}x_1=5,\\x_2=-2.\\\end{matrix}$
Отже, $\left\{\begin{matrix}x_1=5,\\x_2=-2,\\x\neq5,\\x\neq-5.\\\end{matrix}\right.$
Корінь рівняння $x=-2.$
Відповідь:
1. $-4;3;x\neq\pm1,$
2. $x=-2;x\neq\pm5.$
