№ 25.17 Алгебра = № 50.17 Математика
Розв’яжіть рівняння:
1. $\frac{x+7}{x+2}+\frac{x-4}{x-2}=1;$
2. $\frac{3x+3}{3x+2}+\frac{2x-6}{3x-2}=2;$
3. $\frac{4}{x-5}-\frac{2}{x+5}=\frac{x^2+15}{x^2-25};$
4. $\frac{2x+2}{x-3}-\frac{18}{x^2-9}=\frac{x+6}{x+3}.$
Розв'язок:
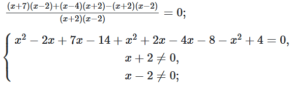
1. $\frac{x+7}{x+2}+\frac{x-4}{x-2}=1;$

$\left\{\begin{matrix}x^2+3x-18=0,\\x\neq\pm2;\ \\\end{matrix}\right.$
$x^2+3x-18=0;$
За теоремою Вієта маємо:
$\left\{\begin{matrix}x_1+x_2=-3,\\x_1x_2=-18,\\\end{matrix}\right.$
звідки $\left\{\begin{matrix}x_1=-3,\\x_2=-18.\\\end{matrix}\right.$
Отже, $\left\{\begin{matrix}x_1=-6,\\x_2=3,\\x\neq\pm2.\\\end{matrix}\right.$
2. $\frac{3x+3}{3x+2}+\frac{2x-6}{3x-2}=2;$

$\left\{\begin{matrix}-3x^2-11x-10=0,\\x\neq-\frac{2}{3},\\x\neq\frac{2}{3};\\\end{matrix}\right.$
$3x^2+11x+10=0;$
$D={11}^2-4·3·10=$
$= 121-120=1;D>0;$
$x_1=\frac{-11+1}{6}=\frac{-10}{6}=-\frac{5}{3};$
$ x_2=\frac{-11-1}{6}=-2.$
3. $\frac{4}{x-5}-\frac{2}{x+5}=\frac{x^2+15}{x^2-25};$
$\frac{4\left(x+5\right)-2\left(x-5\right)}{\left(x-5\right)\left(x+5\right)}=\frac{x^2+15}{\left(x-5\right)\left(x+5\right)};$

$x^2-2x-15=0$
За теоремою Вієта маємо:
$\left\{\begin{matrix}x_1+x_2=2,\\x_1x_2=-15,\\\end{matrix}\right.$
звідки $\begin{matrix}x_1=5,\\x_2=-3.\\\end{matrix}$
Отже, $\left\{\begin{matrix}x_1=5,\\x_2=-3,\\x\neq\pm2.\\\end{matrix}\right.$
Корінь рівняння: $x=-3.$
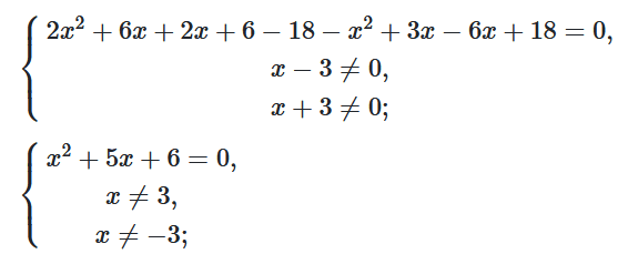
4. $\frac{2x+2}{x-3}-\frac{18}{x^2-9}=\frac{x+6}{x+3};$
$\ \frac{2x+2}{x-3}-\frac{18}{\left(x-3\right)\left(x+3\right)}-\frac{x+6}{x+3}=0;$
$\frac{\left(2x+2\right)\left(x+3\right)-18-\left(x+6\right)\left(x-3\right)}{\left(x-3\right)\left(x+3\right)}=0;$

$x^2+5x+6=0$
За теоремою Вієта маемо:
$\left\{\begin{matrix}x_1+x_2=-5,\\x_1x_2=6,\\\end{matrix}\right.$
звідки $\begin{matrix}x_1=-3,\\x_2=-2.\\\end{matrix}$
Отже, $\left\{\begin{matrix}x_1=-3,\\x_2=-2,\\x\neq\pm3.\\\end{matrix}\right.$
Корінь рівняння: $x=-2.$
Відповідь:
1. $-6;3;x\neq\pm2;$
2. $-1\frac{2}{3};-2;x\neq\pm\frac{2}{3};$
3. $-3;x\neq\pm5;$
4. $-2;x\neq\pm3.$
