№ 25.16 Алгебра = № 50.16 Математика
Розв’яжіть рівняння:
1. $\frac{x^4+x^2-2}{x+1}=0;$
2. $\frac{6x^2+7x-5}{1-2x}=4;$
3. $\frac{3x^2-10x+3}{x^2-9}=2;$
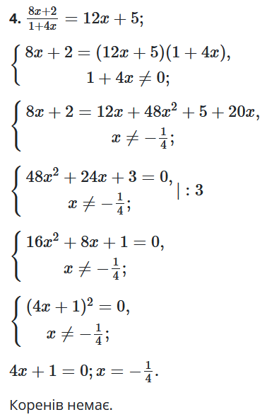
4. $\frac{8x+2}{1+4x}=12x+5.$
Розв'язок:
1. $\frac{x^4+x^2-2}{x+1}=0;$
$\left\{\begin{matrix}x^4+x^2-2=0,\\x+1\neq0x\neq-1;\\\end{matrix}\right.$
$x^4+x^2-2=0.$
Заміна: $x^2=t,t\geq.$
Маємо: $t^2+t-2=0.$
За теоремою Вієта маємо:
$\left\{\begin{matrix}t_1+t_2=-1,\\t_1t_2=-2,\\\end{matrix}\right.$
звідки $\begin{matrix}t_1=-2,\\t_2=1,\\\end{matrix}$
${\ t}_1=-2$- не задовольняе умові, t\geq0.
Обернена заміна: $x^2=1,$ то $\left\{\begin{matrix}&x_1=1,\\&x_2=-1.\\\end{matrix}\right.$
Отже, $\left\{\begin{matrix}x_1=1,\\x_2=-1,\\x\neq-1.\\\end{matrix}\right.$
Корінь рівняння: $x=1.$
2. $\frac{6x^2+7x-5}{1-2x}=4;$
$\left\{\begin{matrix}6x^2+7x-5=4(1-2x),\\1-2x\neq0;\\\end{matrix}\right.$
$\left\{\begin{matrix}6x^2+7x-5=4-8x,\\x\neq\frac{1}{2};\\\end{matrix}\right.$
$\left\{\begin{matrix}6x^2+15x-9=0,\\x\neq\frac{1}{2};\\\end{matrix}\right.$
$6x^2+15x-9=0;$
$D={15}^2-4·6·(-9)=$
$= 225+216=441=21^2;$
$D>0;$
$x_1=\frac{-15+21}{12}=\frac{6}{12}=\frac{1}{2};$
$x_2=\frac{-15-21}{12}=\frac{-36}{12}=-3.$
Отже, $\left\{\begin{matrix}x_1=\frac{1}{2},\\x_2=-3,\\x\neq\frac{1}{2}.\\\end{matrix}\right.$
Корінь рівняння: $x=-3.$
3. $\frac{3x^2-10x+3}{x^2-9}=2;$
$\left\{\begin{matrix}3x^2-10x+3=2\left(x^2-9\right),\\x-3\neq0,\\x+3\neq0;\\\end{matrix}\right.$
$\left\{\begin{matrix}3x^2-10x+3=2x^2-18,\\x\neq\pm3;\\\end{matrix}\right.$
$\left\{\begin{matrix}x^2-10x+21=0,\\x\neq\pm3;\\\end{matrix}\right.$
$x^2-10x+21=0.$
За теоремою Вієта маємо:
$\left\{\begin{matrix}x_1+x_2=10,\\x_1x_2=21,\\\end{matrix}\right.$
звідки $\begin{matrix}x_1=7,\\x_2=3,\\\end{matrix}\ \ x_2=3$ - не задовольняє умові.
Отже, корінь рівняння $x=7.$

Відповідь:
1. $1;x\neq-1;$
2. $-3;x\neq\frac{1}{2};$
3. $7;x\neq\pm3;$
4. коренів немає.
