№ 25.15 Алгебра = № 50.15 Математика
Розв’яжіть рівняння:
1. $\frac{x^4-10x^2+9}{x+3}=0;$
2. $\frac{6x^2+19x-7}{1-3x}=5;$
3. $\frac{2x^2-5x+2}{x^2-4}=3;$
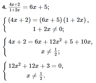
4. $\frac{4x+2}{1+2x}=6x+5.$
Розв'язок:
1. $\frac{x^4-10x^2+9}{x+3}=0;$
$\left\{\begin{matrix}x^4-10x+9=0,\\x+3\neq0,x\neq3;\\\end{matrix}\right.$
$x^4-10x^2+9=0.$
Заміна: $x^2=t,t\geq.$
$t^2-10t+9=0. $
За теоремою Вієта маємо:
$\left\{\begin{matrix}t_1+t_2=10,\\t_1t_2=9,\\\end{matrix}\right.$
звідки $\begin{matrix}t_1=9,\\t_2=1.\\\end{matrix}$
Обернена заміна: $\left\{\begin{matrix}x^2=9,\\x^2=1\\\end{matrix}\Leftrightarrow\left\{\begin{matrix}x=\pm3,\\x\neq\pm1.\\\end{matrix}\right.\right.$
Отже, $\left\{\begin{matrix}x_{1,2}=\pm3,\\x_{3,4}=\pm1,\mathrm{\ \ } \\x\neq-3.\\\end{matrix}\right.$
корені рівняння: $\left\{\begin{matrix}x_1=3,\\x_{2,3}=\pm1,\\x\neq-3.\\\end{matrix}\right.$
2. $\frac{6x^2+19x-7}{1-3x}=5;$
$\left\{\begin{matrix}6x^2+19x-7=5(1-3x),\\1-3x\neq0;\\\end{matrix}\right.$
$\left\{\begin{matrix}6x^2+19x-7=5-15x,\\x\neq\frac{1}{3};\\\end{matrix}\right.$
$6x^2+34x-12=0\mid:2;$
$3x^2+17x-6=0;$
$D={17}^2-4·3·(-6)=$
$= 289+72=361=192;$
$D>0;$
$x_1=\frac{-17+19}{6}=\frac{2}{6}=\frac{1}{3};$
$x_2=\frac{-17-19}{6}=\frac{-36}{6}=-6.$
Отже, $\left\{\begin{matrix}x_1=\frac{1}{3},\\x_2=-6,x=-6\mathrm{\ } \\x\neq\frac{1}{3},\\\end{matrix}\right.$ - корінь рівняння. $x≠13,$
3. $\frac{2x^2-5x+2}{x^2-4}=3;$
$\left\{\begin{matrix}2x^2-5x+2=3\left(x^2-4\right),\\x^2-4\neq0;\\\end{matrix}\right.$
$\left\{\begin{matrix}2x^2-5x+2=3x^2-12,\\x\neq\pm2;\\\end{matrix}\right.$
$\left\{\begin{matrix}x^2+5x-14=0,\\x\neq\pm2;\\\end{matrix}\right.$
$x^2+5x-14=0.$
За теоремою Вієта маємо:
$\left\{\begin{matrix}x_1+x_2=-5,\\x_1x_2=-14,\\\end{matrix}\right.$
звідки: $\left\{\begin{matrix}x_1=-7,\\x_2=2.\\\end{matrix}\right.$
Отже, $\left\{\begin{matrix}x_1=-7,\\x_2=2,\\x\neq\pm2.\\\end{matrix}\right.$
Корінь рівняння $x=-7.$

$12x^2+12x+3=0\mid:3;$
$4x^2+4x+1=0;$
$(2x+1)^2=0; 2x+1=0;$
$ x=-\frac{1}{2}.$
Отже,$x=-12,x≠-12.$
Коренів немає.
Відповідь:
1. $3;\pm1;x\neq-3;$
2. $-6;x\neq\frac{1}{3};$
3. $-7;x\neq\pm2;$
4. коренів немає.
