№ 22.4 Алгебра = № 42.4 Математика
Розв’яжіть рівняння, використовуючи формулу коренів, та перевірте істинність теореми Вієта для кожного з рівнянь:
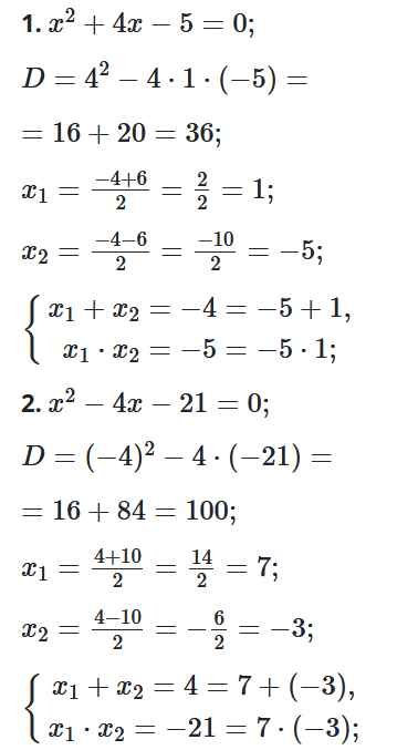
1. $x^2+4x-5=0;$
2. $x^2-4x-21=0;$
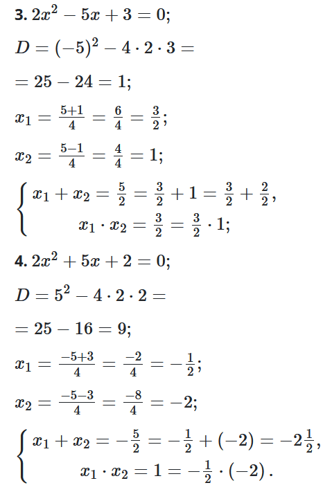
3. $2x^2-5x+3=0;$
4. $2x^2+5x+2=0.$
Розв'язок:


№ 22.4 Алгебра = № 42.4 Математика
1. $x^2+4x-5=0;$
2. $x^2-4x-21=0;$
3. $2x^2-5x+3=0;$
4. $2x^2+5x+2=0.$


