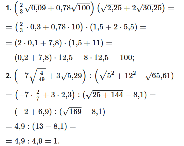
ВПР 2 №11 Алгебра = ВПТ 7 №11 Математика
Обчисліть:
1. $\left(\frac{2}{3}\sqrt{0{,}09}+0{,}78\sqrt{100}\right)\cdot$
$\cdot\left(\sqrt{2{,}25}+2\sqrt{30{,}25}\right);$
2. $\left(-7\sqrt{\frac{4}{49}}+3\sqrt{5{,}29}\right):$
$: \left(\sqrt{5^2+{12}^2}-\right.\sqrt{65{,}61}).$
Розв'язок:

