ВПР 1 №34 Алгебра = ВПТ 1 №34 Математика
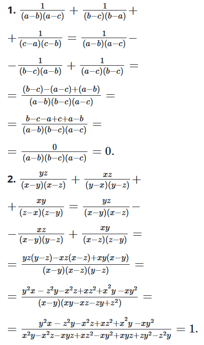
Доведіть тотожність:
1. $\frac{1}{\left(a-b\right)\left(a-c\right)}+\frac{1}{\left(b-c\right)\left(b-a\right)}+$
$+ \frac{1}{\left(c-a\right)\left(c-b\right)}= 0.$
2. $\frac{yz}{\left(x-y\right)\left(x-z\right)}+\frac{xz}{\left(y-x\right)\left(y-z\right)}+$
$+ \frac{xy}{\left(z-x\right)\left(z-y\right)}=1.$
Розв'язок:

