№ 8.28 Алгебра = № 13.28 Математика
Для яких значень a рівняння не має розв’язків:
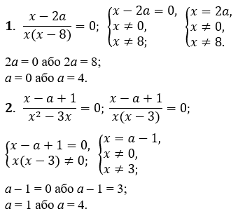
1. $\frac{x-2a}{x(x-8)}=0;$
2. $\frac{x-a+1}{x^2-3x}=0?$
Розв'язок:

Відповідь:
1. a = 0, a = 4;
2. a = 1, a = 4.
№ 8.28 Алгебра = № 13.28 Математика
1. $\frac{x-2a}{x(x-8)}=0;$
2. $\frac{x-a+1}{x^2-3x}=0?$

1. a = 0, a = 4;
2. a = 1, a = 4.
