№ 8.26 Алгебра = № 13.26 Математика
Розв’яжіть рівняння:
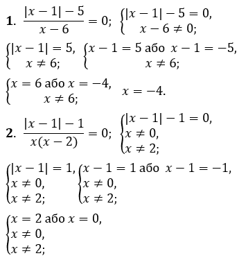
1. $\frac{|x-1|-5}{x-6}=0;$
2. $\frac{\left|x-1\right|-1}{x\left(x-2\right)}=0.$
Розв'язок:

Відповідь:
1. -4;
2. Рівняння не має розв’язків.
№ 8.26 Алгебра = № 13.26 Математика
1. $\frac{|x-1|-5}{x-6}=0;$
2. $\frac{\left|x-1\right|-1}{x\left(x-2\right)}=0.$

1. -4;
2. Рівняння не має розв’язків.
