№ 8.25 Алгебра = № 13.25 Математика
Розв’яжіть рівняння:
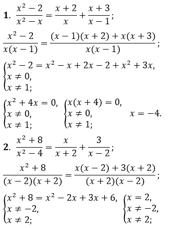
1. $\frac{x^2-2}{x^2-x}=\frac{x+2}{x}+\frac{x+3}{x-1};$
2. $\frac{x^2+8}{x^2-4}=\frac{x}{x+2}+\frac{3}{x-2}.$
Розв'язок:

Відповідь:
1. -4;
2. Рівняння не має розв’язків.
№ 8.25 Алгебра = № 13.25 Математика
1. $\frac{x^2-2}{x^2-x}=\frac{x+2}{x}+\frac{x+3}{x-1};$
2. $\frac{x^2+8}{x^2-4}=\frac{x}{x+2}+\frac{3}{x-2}.$

1. -4;
2. Рівняння не має розв’язків.
