ВПР 1 №32 Алгебра = ВПТ 1 №32 Математика
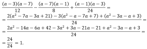
Доведіть, що для всіх значень змінної значення виразу
$\frac{\left(a\ -\ 3\right)\left(a\ -\ 7\right)}{12} − $
$- \frac{\left(a\ -\ 7\right)\left(a\ -\ 1\right)}{8} + $
$+ \frac{\left(a\ -\ 1\right)\left(a\ -\ 3\right)}{24}$ не залежить від a.
Розв'язок:

