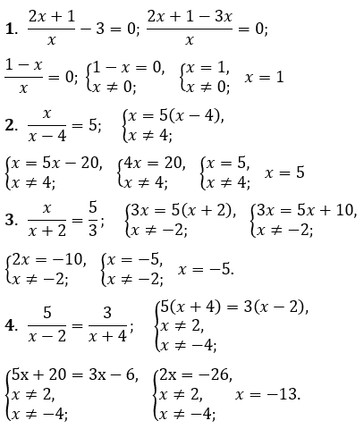
№ 8.9 Алгебра = № 13.9 Математика
Знайдіть корені рівняння:
1. $\frac{2x+1}{x}-3=0;$
2. $\frac{x}{x-4}=5;$
3. $\frac{x}{x+2}=\frac{5}{3};$
4. $\frac{5}{x-2}=\frac{3}{x+4}.$
Розв'язок:

№ 8.9 Алгебра = № 13.9 Математика
1. $\frac{2x+1}{x}-3=0;$
2. $\frac{x}{x-4}=5;$
3. $\frac{x}{x+2}=\frac{5}{3};$
4. $\frac{5}{x-2}=\frac{3}{x+4}.$

