№ 8.23 Алгебра = № 13.23 Математика
Знаменник дробу на 3 більший за чисельник. Якщо до чисельника додати 8, а від знаменника відняти 1, то одержимо дріб, обернений даному. Знайдіть початковий дріб.
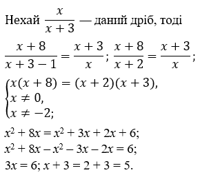
Розв'язок:

Відповідь:
$\frac{2}{5}.$
№ 8.23 Алгебра = № 13.23 Математика

$\frac{2}{5}.$
