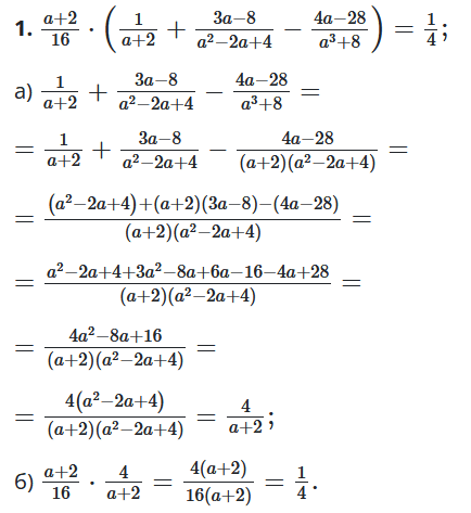
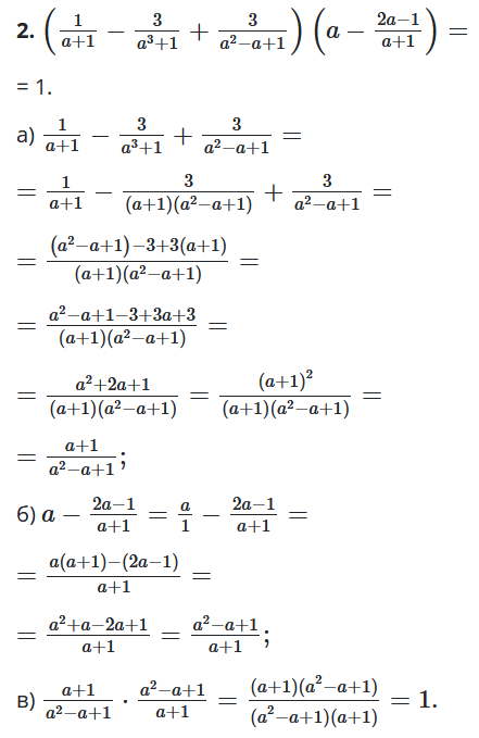
№ 7.17 Алгебра = № 12.17 Математика
Доведіть, що для всіх допустимих значень змінної значення виразу не залежить від значення змінної:
1. $\frac{a+2}{16}\cdot$
$\cdot\left(\frac{1}{a+2}+\frac{3a-8}{a^2-2a+4}-\frac{4a-28}{a^3+8}\right);$
2. $\left(\frac{1}{a+1}-\frac{3}{a^3+1}+\frac{3}{a^2-a+1}\right)\cdot$
$\cdot\left(a-\frac{2a-1}{a+1}\right).$
Розв'язок:


