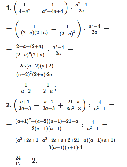
№ 7.15 Алгебра = № 12.15 Математика
Виконайте дії:
1. $\left(\frac{1}{4-a^2}-\frac{1}{a^2-4a+4}\right)\cdot\frac{a^2-4}{2a};$
2. $\left(\frac{a+1}{3a-3}-\frac{a+2}{3a+3}+\frac{21-a}{3a^2-3}\right):\frac{4}{a^2-1}.$
Розв'язок:

№ 7.15 Алгебра = № 12.15 Математика
1. $\left(\frac{1}{4-a^2}-\frac{1}{a^2-4a+4}\right)\cdot\frac{a^2-4}{2a};$
2. $\left(\frac{a+1}{3a-3}-\frac{a+2}{3a+3}+\frac{21-a}{3a^2-3}\right):\frac{4}{a^2-1}.$

